слушай наш подкаст
откровенные беседы без прикрас о жизни школьников
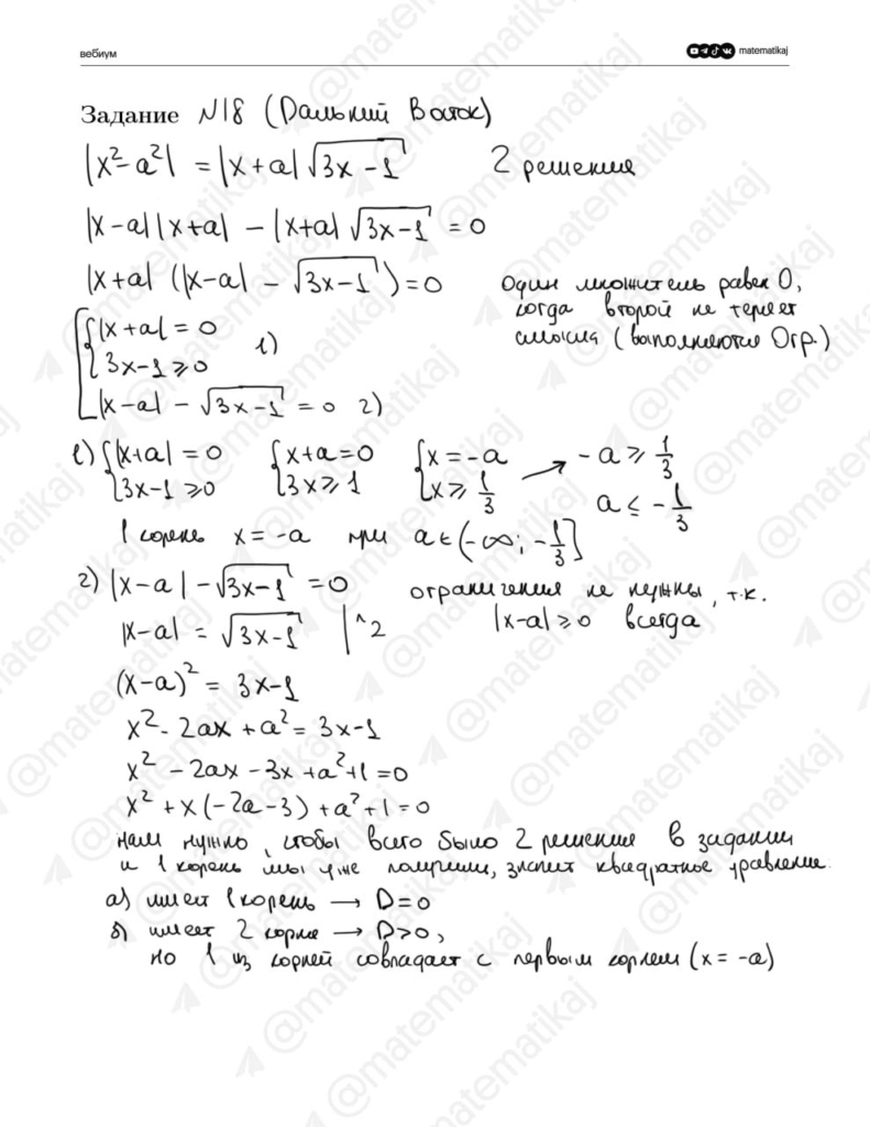
В школе Вебиум преподаватель по математике Эйджей Гаусс разбирает все задания Дальнего Востока по профильной математике. В конце статьи — видеоразбор номеров из реальных КИМов.





























Здесь Эйджей Гаусс разобрал все задания по профильной математике, которые могут быть на ЕГЭ-2024.
Официальная дата объявления результатов — 17 июня 2024 года. О том, когда будут известны результаты по другим предметам и где их смотреть, мы рассказали в статье Результаты ЕГЭ-2024: когда опубликуют итоговые баллы и где их посмотреть.
Авторизуйтесь, чтобы оставить комментарий.