1) луч падающий, луч преломлённый и перпендикуляр, восставленный в точку падения, лежат в одной плоскости;
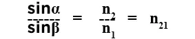
2) отношение синуса угла падения к синусу угла преломления для двух данных сред есть величина постоянная; эту величину называют относительным показателем преломления n21, второй среды относительно первой:


Свойство среды уменьшать скорость проходящего через неё света по сравнению с его скоростью в вакууме называется оптической плотностью среды. Чем больше оптическая плотность среды, тем больше у неё абсолютный показатель преломления.
В призме или плоскопараллельной пластине преломление происходит на каждой грани в соответствии с законом преломления света.

Зависимость показателя преломления света от частоты (цвета) света называется дисперсией. Вследствие дисперсии при прохождении через стеклянную призму пучков монохроматического света разной частоты под одним и тем же углом падения фиолетовый луч преломляется больше, чем красный. Следовательно, показатель преломления для фиолетового света больше, чем для красного: nф > nк

Авторизуйтесь, чтобы оставить комментарий.