Параметры с реального ЕГЭ по профильной математике

Редакция Без Сменки
Честно. Понятно. С душой.

В этой шпаргалке полный разбор заданий по параметрам, который реально встретились на ЕГЭ по профильной математике. 

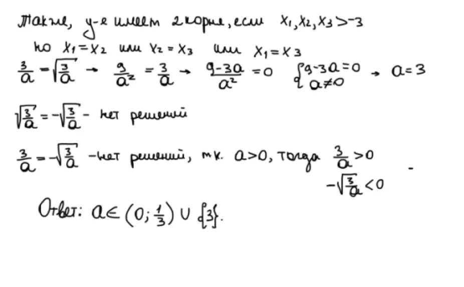
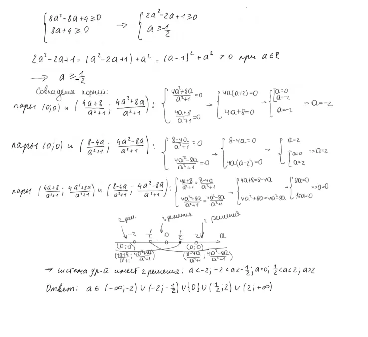
  1. аналитическая схема решения
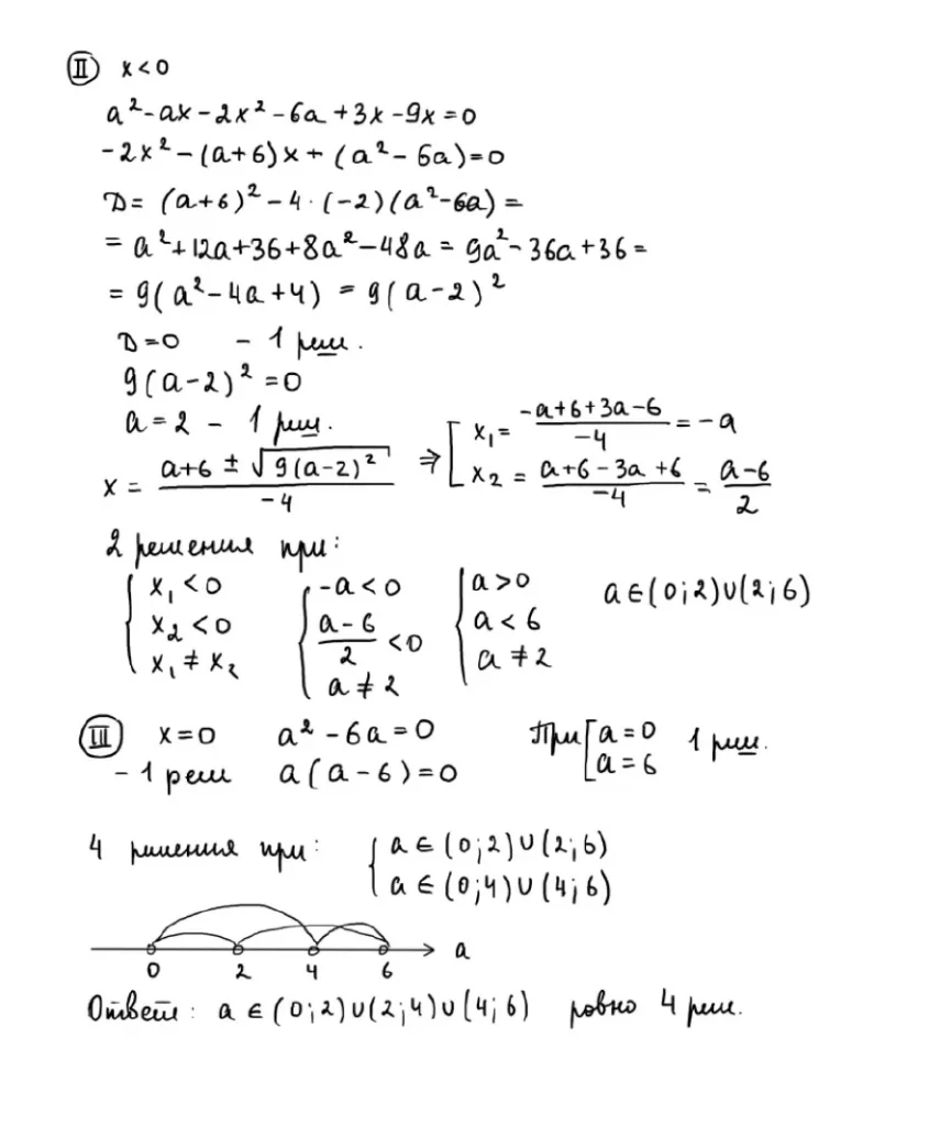
  2. аналитика с особыми случаями + вычисления
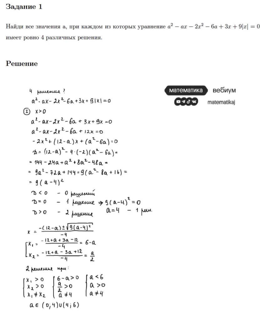
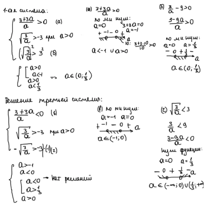
  3. аналитика с ограничениями и условиями
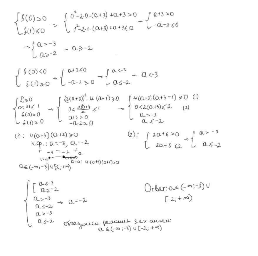
  4. графическая схема решения
  5. графика + кусочно-заданная функция
  6. графика + преобразования функций
  7. замена переменной + графика в параболах

Где вы учитесь?

Вам также будет интересно

Федеративное устройство РФ
В области государственно-территориального устройства Россия является федерацией и состоит из 85 равноправных субъектов: республик, краев, областей,...
Тригонометрия: таблица косинусов, синусов, тангенсов и катангенсов
Салют! Сегодня поговорим про тригонометрию и поделимся таблицей значений косинусов, синусов, тангенсов и катангенсов. 🧑‍🏫 Тригонометрия —...
Площади треугольников
Готовитесь к ЕГЭ по математике? Тогда эта шпаргалка для вас. В ней вы найдете все нужные формулы, чтобы найти площади треугольников. Очень удобно при...
Обязанности пчелиной семьи
Пчёлы относятся к общественным насекомым. Эти насекомые живут совместно, образуют сообщества/семьи. К ним относятся термиты, муравьи 🐜 , осы и...
Новости для ЕГЭ 2026 по обществознанию: ноябрь 2025
В этой шпаргалке новости месяца, которые пригодятся для выполнения 19 и 25 заданий в ЕГЭ 2026 по обществознанию. Долг РЖД приближается к 4 трлн...
Северная война
👉🏻 Основные причины Северной войны: — возможность России получить выход к Балтийскому морю в случае победы; — политика Швеции по расширению...

0 комментария

Авторизуйтесь, чтобы оставить комментарий.