Подробный разбор досрочного ЕГЭ 2026 по профильной математике: структура экзамена, задания 1–19, уровень сложности, реальные номера и стратегия подготовки на 70–90+ баллов.


Первая часть проверяет базовые навыки и умение применять стандартные алгоритмы.
Основные темы:
Задания полностью типовые, решаются по отработанным схемам и не требуют сложных рассуждений. Ошибки в этой части чаще всего связаны с невнимательностью или отсутствием практики.
Вторая часть определяет результат выше 70 баллов и требует уверенного владения математикой.


Тригонометрические уравнения, логарифмы, отбор корней. Ключевая сложность — учет ограничений и корректный отбор решений.




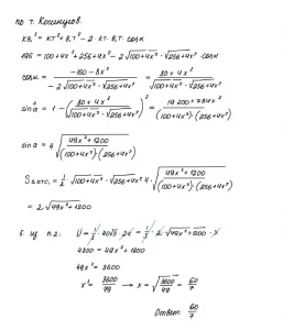
Построение сечений, доказательство, нахождение расстояния до плоскости. Одно из самых сложных заданий экзамена.



Логарифмические неравенства, метод интервалов, работа с областью допустимых значений.





Проценты, кредиты, платежи, прогрессии. Обязательное задание для результата выше среднего уровня.


Подобие треугольников, геометрические отношения, площади. Требует аккуратности и системного решения.



Системы уравнений, графический анализ, исследование количества решений. Самое сложное задание экзамена.



Делимость, логические конструкции, нестандартные задачи. Решается ограниченным числом участников.
Экзамен соответствует демоверсии и не содержит неожиданных типов заданий. Общий уровень сложности — средний.
Первая часть легкая и проверяет базу, вторая часть требует подготовки и системного подхода. Итоговый результат зависит не от сложности варианта, а от уровня подготовки.
Нужно уверенно решить:
К предыдущему добавляется:
Необходимо дополнительно решать:
Первый этап — закрыть базу. Задания 1–12 должны решаться без ошибок и за минимальное время.
Второй этап — отработка ключевых заданий:
Третий этап — добор баллов за счет геометрии.
Четвертый этап — работа с параметрами и сложными задачами для выхода на высокий результат.
Чаще всего баллы теряются из-за:
Досрочный вариант показывает, что формат экзамена останется прежним. Задания будут типовыми, структура не изменится.
Результат зависит от системной подготовки, регулярной практики и понимания формата заданий.
Авторизуйтесь, чтобы оставить комментарий.